
东北大学学报(自然科学版) ›› 2025, Vol. 46 ›› Issue (8): 124-132.DOI: 10.12068/j.issn.1005-3026.2025.20240213
• 研究论文 • 上一篇
乐启炽1,2, 周晨1,2, 贾伟涛1,2, 丁云鹏1,2
Qi-chi LE1,2, Chen ZHOU1,2, Wei-tao JIA1,2, Yun-peng DING1,2
摘要:
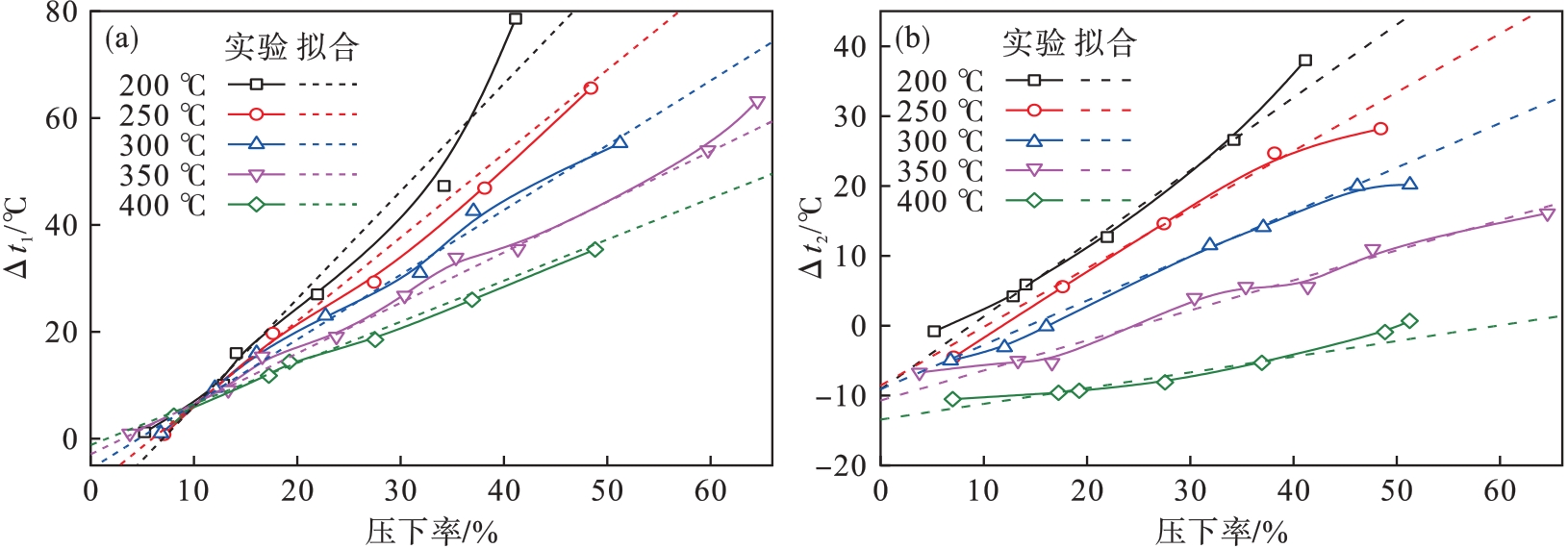
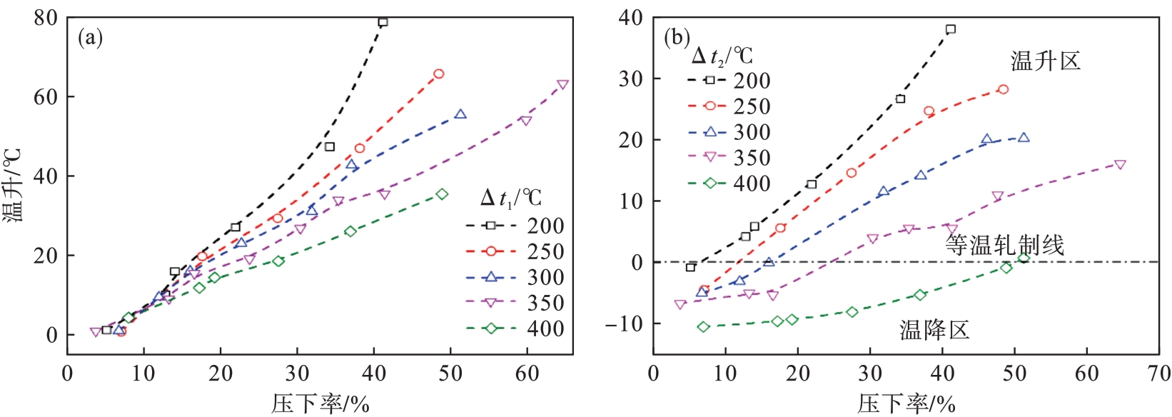
探究了AZ31B镁合金在轧制过程中轧制压下率与轧制温度对中心层瞬时温升(∆t1)、轧后稳态温升(∆t2)以及表面层瞬时温降(∆t3)的影响.根据AZ31B板材的实测轧制温度数据对轧板近等温轧制状态进行了评定,并建立了对应的经验公式.结果表明:随着轧制压下率的增加,∆t1和∆t2逐渐增加,∆t3先增加后减小,且∆t1和∆t2的变化随着轧制压下率的增加呈线性关系.此外,随着轧制温度的增加,∆t1和∆t2逐渐减小,∆t3逐渐上升,∆t1和∆t2与轧制压下率之间线性关系曲线的斜率逐渐下降.根据经验公式获得的预测曲线趋势与实验数据较为吻合,证实了AZ31B镁合金近等温轧制的可行性.
中图分类号: