
东北大学学报(自然科学版) ›› 2025, Vol. 46 ›› Issue (7): 71-83.DOI: 10.12068/j.issn.1005-3026.2025.20240193
收稿日期:2024-10-25
出版日期:2025-07-15
发布日期:2025-09-24
通讯作者:
蒋忠中
作者简介:崔鹏浩(1990—),男,河北保定人,东北大学讲师,硕士生导师
基金资助:
Peng-hao CUI1, Qi-man ZHANG1, Zhong-zhong JIANG1(
), Guo-jun SHENG2
Received:2024-10-25
Online:2025-07-15
Published:2025-09-24
Contact:
Zhong-zhong JIANG
摘要:
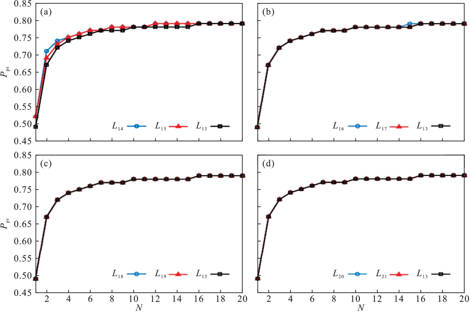
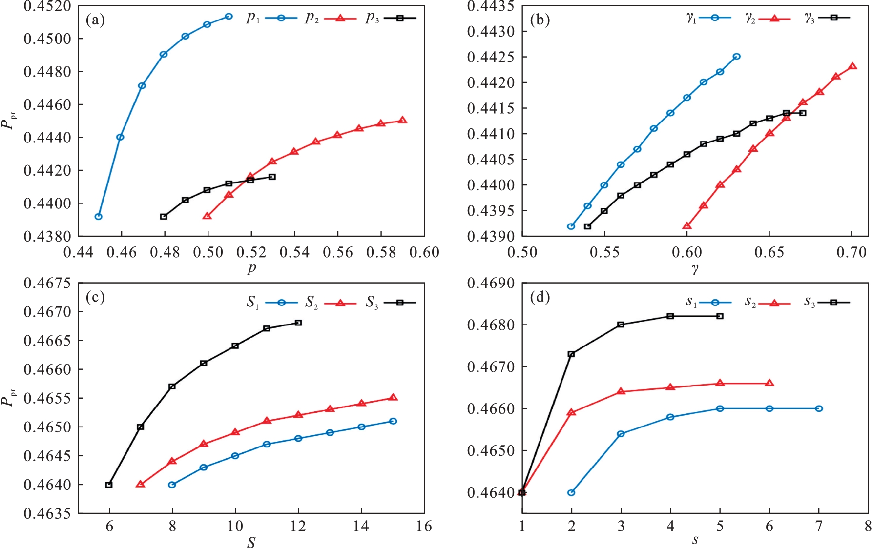
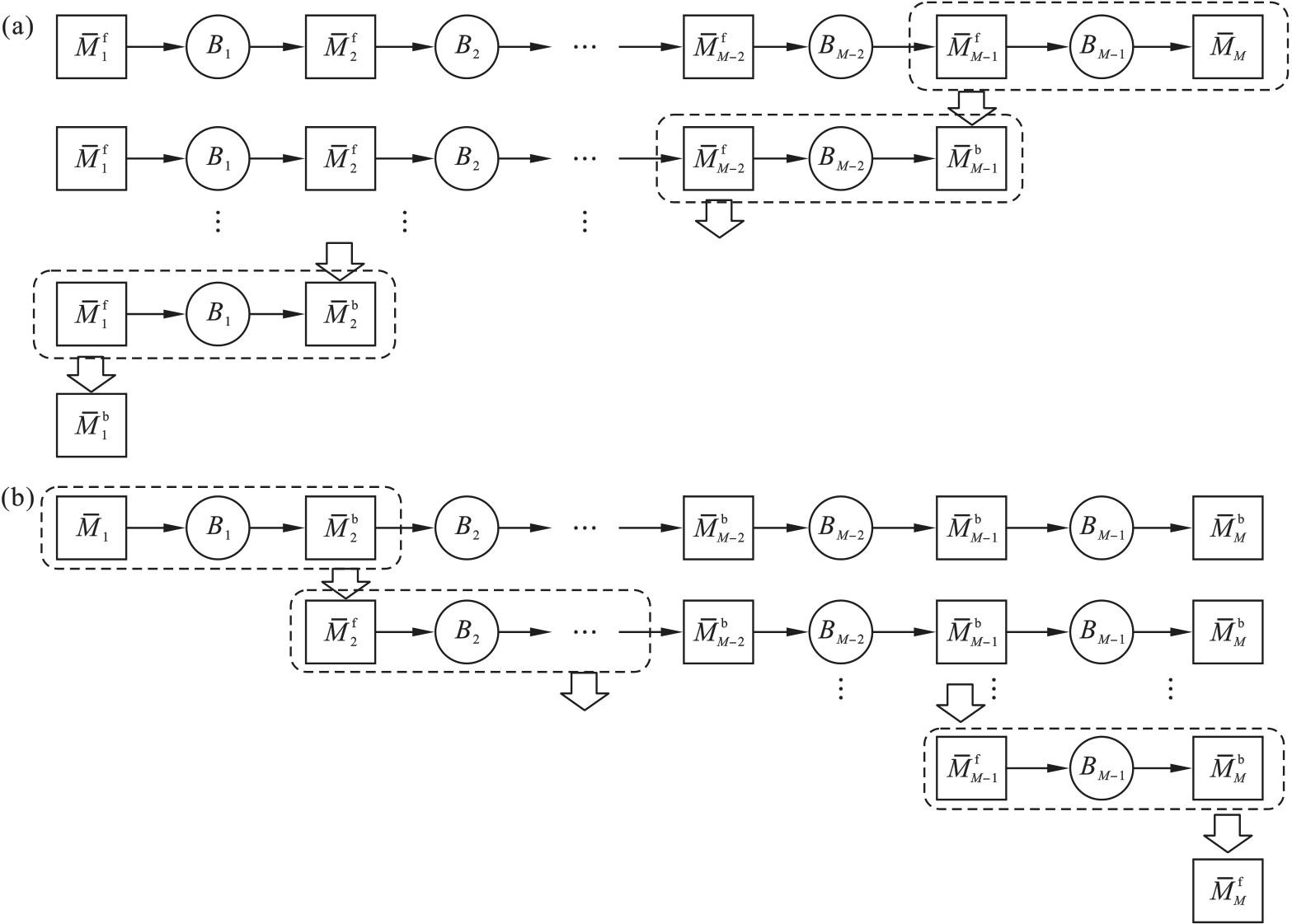
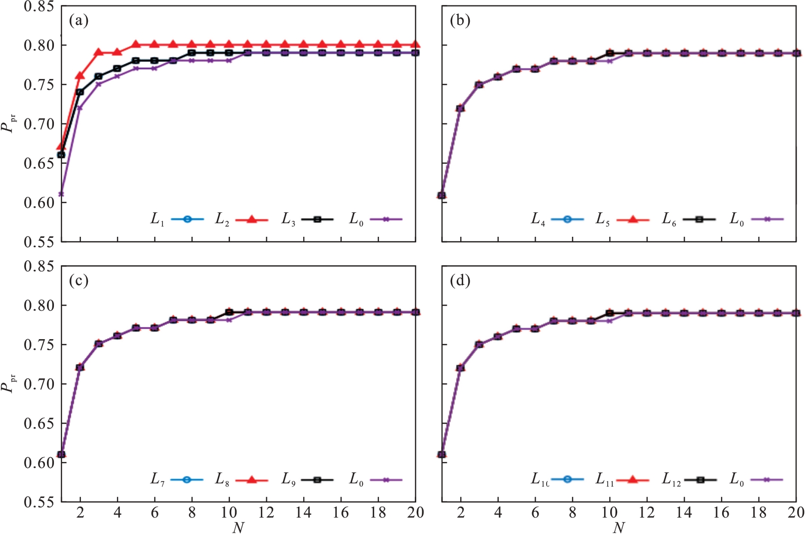
装配线的产出性能不仅受到机器不可靠性和缓冲空间有限性的影响,还受到线边零件库存的制约.针对考虑线边零件库存的多阶段装配线,研究了其解析建模与性能评估问题.首先,对于单阶段装配线,基于马尔可夫链求得了单阶段装配线系统状态的稳态概率分布.其次,对于两阶段装配线,将单阶段子系统等效为具有1个工作状态和1个故障状态的机器,基于马尔可夫链建立性能评估模型,通过模型求解得到产出率等性能指标的闭集表达式.再次,对于多阶段装配线,提出了聚合方法对主要性能指标进行近似评估.进一步地,通过数值实验验证了性能评估方法的准确性.最后,基于所提出的性能评估方法,通过数值实验分析了多阶段装配线的可逆性及单调性等系统性质.
中图分类号:
崔鹏浩, 张祺曼, 蒋忠中, 盛国军. 考虑线边零件库存的多阶段装配线解析建模与性能评估[J]. 东北大学学报(自然科学版), 2025, 46(7): 71-83.
Peng-hao CUI, Qi-man ZHANG, Zhong-zhong JIANG, Guo-jun SHENG. Analytical Modeling and Performance Evaluation of Multi-stage Assembly Lines with Line-Side Buffers[J]. Journal of Northeastern University(Natural Science), 2025, 46(7): 71-83.
| 指标 | ||||||
|---|---|---|---|---|---|---|
| 2 | 4 | 6 | 8 | 10 | 12 | |
| 0.786 2 | 0.747 4 | 0.727 4 | 0.717 3 | 0.710 3 | 0.705 9 | |
| 0.784 4 | 0.746 4 | 0.724 7 | 0.712 9 | 0.704 3 | 0.698 6 | |
| 0.27 | 0.92 | 1.26 | 1.50 | 1.70 | 1.82 | |
表1 产出率(Ppr)准确性分析结果
Table 1 Accuracy analysis results of production rate (Ppr)
| 指标 | ||||||
|---|---|---|---|---|---|---|
| 2 | 4 | 6 | 8 | 10 | 12 | |
| 0.786 2 | 0.747 4 | 0.727 4 | 0.717 3 | 0.710 3 | 0.705 9 | |
| 0.784 4 | 0.746 4 | 0.724 7 | 0.712 9 | 0.704 3 | 0.698 6 | |
| 0.27 | 0.92 | 1.26 | 1.50 | 1.70 | 1.82 | |
| 指标 | ||||||
|---|---|---|---|---|---|---|
| 2 | 4 | 6 | 8 | 10 | 12 | |
| 3.204 9 | 3.325 8 | 3.334 4 | 3.334 6 | 3.350 0 | 3.359 7 | |
| 3.201 0 | 3.324 7 | 3.332 1 | 3.329 4 | 3.334 8 | 3.330 2 | |
| 1.08 | 2.35 | 3.37 | 4.12 | 4.43 | 4.81 | |
表2 在制品水平(Wb)准确性分析结果
Table 2 Accuracy analysis results of work in process level (Wb)
| 指标 | ||||||
|---|---|---|---|---|---|---|
| 2 | 4 | 6 | 8 | 10 | 12 | |
| 3.204 9 | 3.325 8 | 3.334 4 | 3.334 6 | 3.350 0 | 3.359 7 | |
| 3.201 0 | 3.324 7 | 3.332 1 | 3.329 4 | 3.334 8 | 3.330 2 | |
| 1.08 | 2.35 | 3.37 | 4.12 | 4.43 | 4.81 | |
| 指标 | ||||||
|---|---|---|---|---|---|---|
| 2 | 4 | 6 | 8 | 10 | 12 | |
| 4.944 2 | 4.595 7 | 4.550 4 | 4.571 7 | 4.550 0 | 4.560 8 | |
| 4.943 1 | 4.637 2 | 4.592 0 | 4.614 0 | 4.592 6 | 4.603 7 | |
| 0.02 | 0.84 | 0.86 | 0.88 | 0.89 | 0.89 | |
表3 线边零件库存水平(Wl)准确性分析结果
Table 3 Accuracy analysis results of inventory level in the line-side buffers (Wl)
| 指标 | ||||||
|---|---|---|---|---|---|---|
| 2 | 4 | 6 | 8 | 10 | 12 | |
| 4.944 2 | 4.595 7 | 4.550 4 | 4.571 7 | 4.550 0 | 4.560 8 | |
| 4.943 1 | 4.637 2 | 4.592 0 | 4.614 0 | 4.592 6 | 4.603 7 | |
| 0.02 | 0.84 | 0.86 | 0.88 | 0.89 | 0.89 | |
| 指标 | ||||||
|---|---|---|---|---|---|---|
| 2 | 4 | 6 | 8 | 10 | 12 | |
| 0.062 2 | 0.050 6 | 0.060 8 | 0.065 8 | 0.069 8 | 0.072 5 | |
| 0.064 3 | 0.052 7 | 0.063 6 | 0.069 2 | 0.073 6 | 0.076 5 | |
| 0.002 1 | 0.006 3 | 0.009 6 | 0.012 1 | 0.013 4 | 0.014 6 | |
表4 阻塞率(Pbl)准确性分析结果
Table 4 Accuracy analysis results of blockage probability (Pbl)
| 指标 | ||||||
|---|---|---|---|---|---|---|
| 2 | 4 | 6 | 8 | 10 | 12 | |
| 0.062 2 | 0.050 6 | 0.060 8 | 0.065 8 | 0.069 8 | 0.072 5 | |
| 0.064 3 | 0.052 7 | 0.063 6 | 0.069 2 | 0.073 6 | 0.076 5 | |
| 0.002 1 | 0.006 3 | 0.009 6 | 0.012 1 | 0.013 4 | 0.014 6 | |
| 指标 | ||||||
|---|---|---|---|---|---|---|
| 2 | 4 | 6 | 8 | 10 | 12 | |
| 0.058 4 | 0.051 3 | 0.060 2 | 0.065 2 | 0.069 1 | 0.071 0 | |
| 0.060 5 | 0.053 2 | 0.063 2 | 0.069 2 | 0.073 8 | 0.076 7 | |
| 0.002 1 | 0.006 5 | 0.009 6 | 0.011 9 | 0.013 3 | 0.014 5 | |
表5 饥饿率(Pst)准确性分析结果
Table 5 Accuracy analysis results of starvation probability (Pst)
| 指标 | ||||||
|---|---|---|---|---|---|---|
| 2 | 4 | 6 | 8 | 10 | 12 | |
| 0.058 4 | 0.051 3 | 0.060 2 | 0.065 2 | 0.069 1 | 0.071 0 | |
| 0.060 5 | 0.053 2 | 0.063 2 | 0.069 2 | 0.073 8 | 0.076 7 | |
| 0.002 1 | 0.006 5 | 0.009 6 | 0.011 9 | 0.013 3 | 0.014 5 | |
| 编号 | 概率参数 | 线边零件库存控制参数 |
|---|---|---|
表6 三阶段装配线具体参数
Table 6 Parameters of three-stage assembly lines
| 编号 | 概率参数 | 线边零件库存控制参数 |
|---|---|---|
| 编号 | 概率参数 | 线边零件库存控制参数 |
|---|---|---|
表7 七阶段装配线具体参数
Table 7 Parameters of seven-stage assembly lines
| 编号 | 概率参数 | 线边零件库存控制参数 |
|---|---|---|
| 编号 | ||||||
|---|---|---|---|---|---|---|
| 1 | [0.45,0.51] | 0.50 | 0.48 | 0.53 | 0.60 | 0.54 |
| 2 | 0.45 | [0.50,0.59] | 0.48 | 0.53 | 0.60 | 0.54 |
| 3 | 0.45 | 0.50 | [0.48,0.53] | 0.53 | 0.60 | 0.54 |
| 4 | 0.45 | 0.50 | 0.48 | [0.53,0.63] | 0.60 | 0.54 |
| 5 | 0.45 | 0.50 | 0.48 | 0.53 | [0.60,0.70] | 0.54 |
| 6 | 0.45 | 0.50 | 0.48 | 0.53 | 0.60 | [0.54,0.67] |
表8 三阶段装配线概率参数取值范围及组合情况
Table 8 Efficiency parameters ranges and combination of three-stage assembly lines
| 编号 | ||||||
|---|---|---|---|---|---|---|
| 1 | [0.45,0.51] | 0.50 | 0.48 | 0.53 | 0.60 | 0.54 |
| 2 | 0.45 | [0.50,0.59] | 0.48 | 0.53 | 0.60 | 0.54 |
| 3 | 0.45 | 0.50 | [0.48,0.53] | 0.53 | 0.60 | 0.54 |
| 4 | 0.45 | 0.50 | 0.48 | [0.53,0.63] | 0.60 | 0.54 |
| 5 | 0.45 | 0.50 | 0.48 | 0.53 | [0.60,0.70] | 0.54 |
| 6 | 0.45 | 0.50 | 0.48 | 0.53 | 0.60 | [0.54,0.67] |
| 编号 | ||||||
|---|---|---|---|---|---|---|
| 7 | [ | 7 | 6 | 2 | 1 | 1 |
| 8 | 8 | [ | 6 | 2 | 1 | 1 |
| 9 | 8 | 7 | [ | 2 | 1 | 1 |
| 10 | 8 | 7 | 6 | [ | 1 | 1 |
| 11 | 8 | 7 | 6 | 2 | [ | 1 |
| 12 | 8 | 7 | 6 | 2 | 1 | [ |
表9 三阶段装配线线边零件库存控制参数取值范围及组合情况
Table 9 Value range and combination of threshold parameters for line-side buffers of three-stage assembly lines
| 编号 | ||||||
|---|---|---|---|---|---|---|
| 7 | [ | 7 | 6 | 2 | 1 | 1 |
| 8 | 8 | [ | 6 | 2 | 1 | 1 |
| 9 | 8 | 7 | [ | 2 | 1 | 1 |
| 10 | 8 | 7 | 6 | [ | 1 | 1 |
| 11 | 8 | 7 | 6 | 2 | [ | 1 |
| 12 | 8 | 7 | 6 | 2 | 1 | [ |
| [1] | 陆少军, 崔龙庆, 赵婷, 等. 面向高端装备制造协同优化的人工智能方法研究综述与展望[J]. 计算机集成制造系统, 2022, 28(7): 1940-1952. |
| Lu Shao-jun, Cui Long-qing, Zhao Ting, et al. Review and prospect of artificial intelligence methods for collaborative optimization of high-end equipment manufacturing[J]. Computer Integrated Manufacturing Systems, 2022,28(7):1940-1952. | |
| [2] | Yi Y, Yan Y H, Liu X J, et al. Digital twin-based smart assembly process design and application framework for complex products and its case study[J]. Journal of Manufacturing Systems, 2021, 58: 94-107. |
| [3] | 贾之阳, 陈京川, 戴亚平. 基于几何可靠性机器模型的装配系统实时性能分析[J]. 自动化学报, 2020, 46(12): 2583-2592. |
| Jia Zhi-yang, Chen Jing-chuan, Dai Ya-ping. Real-time performance evaluation of assembly systems with geometric machines[J]. Acta Automatica Sinica, 2020, 46(12): 2583-2592. | |
| [4] | 黄雪梅, 王越超, 谈大龙, 等. 基于数字制造环境的可重构装配线仿真分析平台[J]. 东北大学学报(自然科学版), 2004, 25(5): 489-492. |
| Huang Xue-mei, Wang Yue-chao, Tan Da-long, et al. Simulation platform for reconfigurable assembly line based on digital manufacturing environment[J]. Journal of Northeastern University(Natural Science), 2004, 25(5): 489-492. | |
| [5] | Zhao C, Kang N X, Li J S, et al. Production control to reduce starvation in a partially flexible production-inventory system[J]. IEEE Transactions on Automatic Control, 2018, 63(2): 477-491. |
| [6] | 周炳海, 费芊然. 考虑能耗的混流装配线物料配送多目标调度方法[J]. 东北大学学报(自然科学版), 2020, 41(2): 258-264. |
| Zhou Bing-hai, Fei Qian-ran. Multi-objective scheduling algorithm for mixed-model assembly line considering energy consumption[J]. Journal of Northeastern University (Natural Science), 2020, 41(2): 258-264. | |
| [7] | Gershwin B. Manufacturing systems engineering[M]. Upper Saddle River: Prentice Hall, 1994. |
| [8] | Li J S, Meerkov S M. Production systems engineering[M]. New York: Springer, 2008. |
| [9] | Wang J Q, Yan F Y, Cui P H, et al. Bernoulli serial lines with batching machines: performance analysis and system-theoretic properties[J]. IISE Transactions, 2019, 51(7): 729-743. |
| [10] | Diamantidis A, Lee J H, Papadopoulos C T, et al. Performance evaluation of flow lines with non-identical and unreliable parallel machines and finite buffers[J]. International Journal of Production Research, 2020, 58(13): 3881-3904. |
| [11] | Wang F F, Ju F. Transient and steady-state analysis of multistage production lines with residence time limits[J]. IEEE Transactions on Automation Science and Engineering, 2020, 18(1): 122-134. |
| [12] | Bai Y S, Tu J C, Yang M Z, et al. A new aggregation algorithm for performance metric calculation in serial production lines with exponential machines: design, accuracy and robustness[J]. International Journal of Production Research, 2021, 59(13): 4072-4089. |
| [13] | Michalos G, Makris S, Papakostas N, et al. Automotive assembly technologies review: challenges and outlook for a flexible and adaptive approach[J]. CIRP Journal of Manufacturing Science and Technology, 2010, 2(2): 81-91. |
| [14] | Qin J, Liu Y, Grosvenor R. A categorical framework of manufacturing for industry 4.0 and beyond[J]. Procedia CIRP, 2016, 52: 173-178. |
| [15] | Zammori F, Braglia M, Castellano D. Just-in-time parts feeding policies for paced assembly lines: possible solutions for highly constrained layouts[J]. International Transactions in Operational Research, 2016, 23(4): 691-724. |
| [16] | Lu Z Q, Zhu H W, Han X L, et al. Integrated modelling and algorithm of material delivery and line-side storage for aircraft moving assembly lines[J]. International Journal of Production Research, 2019, 57(18): 5842-5856. |
| [17] | 沈继统, 王创剑, 徐贤浩. 电子产品混流装配线物料供给模式规划决策问题研究[J]. 工业工程与管理, 2023, 28(1): 110-119. |
| Shen Ji-tong, Wang Chuang-jian, Xu Xian-hao. Research on the decision-making problem of material supply mode for mixed-flow assembly line of electronic products[J]. Industrial Engineering and Management, 2023,28(1): 110-119. | |
| [18] | Zangaro F, Minner S, Battini D. The multi-manned joint assembly line balancing and feeding problem[J]. International Journal of Production Research, 2023, 61(16): 5543-5565. |
| [19] | Yan C B, Zhao Q C, Huang N J, et al. Formulation and a simulation-based algorithm for line-side buffer assignment problem in systems of general assembly line with material handling[J]. IEEE Transactions on Automation Science and Engineering, 2010, 7(4): 902-920. |
| [20] | Mindlina J, Tempelmeier H. Performance analysis and optimisation of stochastic flow lines with limited material supply[J]. International Journal of Production Research, 2022, 60(17): 5293-5306. |
| [21] | 崔鹏浩, 李成, 蒋忠中. 考虑零件库存的两机器装配线性能评估与库存控制[J]. 计算机集成制造系统, 2024, 30(1): 289-299. |
| Cui Peng-hao, Li Cheng, Jiang Zhong-zhong. Performance evaluation and inventory control of two-machine assembly lines with parts inventories[J]. Computer Integrated Manufacturing Systems, 2024, 30(1): 289-299. | |
| [22] | Zhao C, Li J S, Huang N J. Efficient algorithms for analysis and improvement of flexible manufacturing systems[J]. IEEE Transactions on Automation Science and Engineering, 2016, 13(1): 105-121. |
| [23] | Kang Y Y, Ju F. Integrated analysis of productivity and machine condition degradation: performance evaluation and bottleneck identification[J]. IISE Transactions, 2019, 51(5): 501-516. |
| [1] | 李坦, 王宏, 金博丕, 吴志伟. 面向外骨骼性能评估的多源生理能耗预测[J]. 东北大学学报(自然科学版), 2024, 45(6): 850-857. |
| [2] | 付兴, 杜文龙, 郑帅, 李宏男. 台风作用下输电线路风振系数及抗风性能研究[J]. 东北大学学报(自然科学版), 2022, 43(7): 913-920. |
| [3] | 孙伟, 方自文, 刘晓峰. 基于虚拟材料的螺栓联接复合板固有特性建模[J]. 东北大学学报:自然科学版, 2020, 41(10): 1421-1426. |
| [4] | 高峰, 孙伟, 倪陈兵. 大小叶盘-硬涂层阻尼结构的解析建模和振动分析[J]. 东北大学学报:自然科学版, 2019, 40(2): 244-250. |
| [5] | 朱剑, 李佳政. MWSN中基于马尔可夫链的节点移动预测算法[J]. 东北大学学报:自然科学版, 2018, 39(7): 949-953. |
| [6] | 李晶皎, 马利, 王爱侠, 马帅. 基于改进Patchmatch及切片采样粒子置信度传播的立体匹配算法[J]. 东北大学学报:自然科学版, 2016, 37(5): 609-613. |
| [7] | 周家红;许开立;陈志勇;. 系统动态安全评价研究[J]. 东北大学学报(自然科学版), 2008, 29(3): 416-419. |
| [8] | 赵永翼;王光兴. 一种基于分布式网络的性能管理模型及算法[J]. 东北大学学报:自然科学版, 2002, 23(2): 111-114. |
| 阅读次数 | ||||||
|
全文 |
|
|||||
|
摘要 |
|
|||||